< previous page page_89 next page >

Page 89
0089-01.gif
Figure 2.20
Yield vs. wafer defects for Poisson distributed defects. The
improved estimate is based on the work of Murphy [210]. See
also Walker [299].
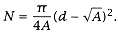
The total number of die realized by the 21-cm wafer is
0089-02.gif
For 2.3 cm2 die,
d87111c01013bcda00bb8640fdff6754.gif
N = 130 (d = 21, A = 2.3),
and for 1.0 cm2 die,
d87111c01013bcda00bb8640fdff6754.gif
N = 314 (d = 21, A = 1).
The yield is (rD = 1 defect/cm2).
0089-03.gif
For 2.3 cm2:
d87111c01013bcda00bb8640fdff6754.gif
Y = 0.1 (A = 2.3, rD = 1).
For 1.0 cm2:
d87111c01013bcda00bb8640fdff6754.gif
Y = 0.37 (A = 1, rD = 1).
So, since
0089-04.gif

 
< previous page page_89 next page >