< previous page page_87 next page >

Page 87
0087-01.gif
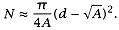
Figure 2.19
Number of die (of area A) on a wafer of diameter d.
low yield (but certainly greater than zero, one hopes), with the advance of technology the design life is extended and the yield greatly improves, thus allowing the design team to amortize fixed costs over a broad base of products.
Suppose a die with square aspect ratio has area A. About N of these die can be realized in a wafer of diameter d (see Figure 2.19):
0087-02.gif
Suppose there are NG good chips and ND point defects on the wafer. Even if ND > N, we might expect several good chips, since the defects are randomly distributed and several defects would cluster on defective chips, sparing a few good chips.
Following the analysis of Ghandi [100], suppose we add a random defect to a wafer; NG/N is the probability that the defect ruins a good die. In other words, the change in the number of good die (NG), with respect to the change in the number of defects (ND), is
0087-03.gif

 
< previous page page_87 next page >