< previous page page_678 next page >

Page 678
Table 10.7 Memory system delays.
Miss Penalty
Reduced-Scale
Super-Pipelined
Cache
0.670 cycles
0.895 cycles
TLB
0.080 cycles
0.130 cycles
Total Memory
0.750 cycles
1.025 cycles

Table 10.8 Processor system instruction cycle summary.
Delay Source
Reduced-scale
Super-pipelined
Instruction
1.000 cycles
0.500 cycles
Pipeline
0.795 cycles
0.928 cycles
Memory
0.750 cycles
1.025 cycles
Total
2.545 cycles
2.453 cycles

the reduced-scale and super-pipelined processorsis now easy to determine. First, using the Poisson model, we get a yield of:
0678-01.gif
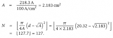
The 8-inch wafer gives a total die count of:
0678-02.gif
Since there is an 11.3% yield, we get a total of 127 ´ 0.113 = 14.4 average good dies per wafer. The cost per chip is thus the packaging cost for a chip plus the net cost per die, or
0678-03.gif
for the Baseline Mark I processor. Similarly, for the reduced-scale and super-pipelined processers, respectively, we get yields of 10.3% and 9.5%, areas of 2.269 cm and 2.359 cm, wafer counts of 122 and 117, average good dies per wafer of 12.6 and 11.1, and costs per chip of $496.8 and $550.5. Thus, the reduced-scale processor costs $49.6 (11.1%) more, and the superpipelined processor $103.3 (23.1%) more, than the original processor.

 
< previous page page_678 next page >