|
|
|
|
|
|
|
Occupancy can be computed as: |
|
|
|
|
|
|
|
|
9.5.8 Composite Configurations |
|
|
|
|
|
|
|
|
Clusters of synchronized disks can also be striped. The analysis follows much of our earlier discussion, as illustrated in the following cases of (8,2) and (2,8). |
|
|
|
|
|
|
|
|
For composite systems (q,s) where s and q ¹ 1, the latency is extended by Tsynch because of block starting position distribution, and the read and transfer time is shortened by s: |
|
|
|
|
|
|
|
|
The transfer time follows the synchronized buffer model; transfer occurs after the completion of Ts (all data is initially transferred into the bufferno overlap): |
|
|
|
|
|
|
|
|
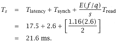
In the (8,2) case, we distribute the file over eight clusters of paired synchronized disks. The latency time is the same as the (dd) striped case, but the read time is reduced by the degree of synchronization (s). The basic latency of 17.5 ms is extended by Tsynch = Tread = 2.6 ms to allow for the synchronization of the differing block starting points on the distributed disks. Thus, |
|
|
|
|
|
|
|
|
In computing the transfer time, we also assume an unoverlapped bus operating s times faster (s = 2) than the (1,1) disk. Now E(f) in blocks is 0.7(1) +.3(9) = 3.4: |
|
|
|
 |
|
|
|
|
Ttransfer = 4.4 ms. |
|
|
|
|
|
|
|
|
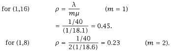
The independence factor m is, as previously discussed: |
|
|
|
|
|