< previous page page_647 next page >

Page 647
buffer to the processor uses a high-speed bus and begins after the entire file is available. For a file of n blocks, the time to read the file and the buffer-to-processor transfer rate are s times faster than simpler configurations such as (1,1):
0647-01.gif
Access now consists of:
0647-02.gif
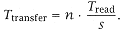
Synchronized disk (ds) files are byte-interleaved across s disks. Each block appears to be shortened by a factor of s. Since each block is distributed over all s drives, n block files are read in:
0647-03.gif
This assumes that the block size is at least s times the sector size (the unit of disk access). It is assumed that the buffer is fully occupied during the disk read time, so now the high-speed transfer is performed after the disk read is complete. Then
0647-04.gif
For (1, s) configurations, n = E(f) and
0647-05.gif
For (1,16):
0647-06.gif
For (1,8), we would have:
0647-07.gif

 
< previous page page_647 next page >