|
|
|
|
|
|
|
effective speedup including the effects of I/O? |
|
|
|
|
|
|
|
|
Now Tu < Ts, and our original model applies. Using Equation (9.11): |
|
|
|
|
|
|
|
|
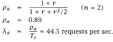
The maximum offered rate (without queueing delay) is: |
|
|
|
|
|
|
|
|
but the disk service rate is: |
|
|
|
|
|
|
|
|
which actually bounds the system performance. |
|
|
|
|
|
|
|
|
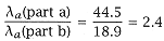
The system speedup over the processor in part (a) is: |
|
|
|
|
|
|
|
|
Situations in which one component of the system is significantly speeded up (as in this case) frequently realize significantly less improvement in system performance because of other hidden bottlenecks (in this case, the disk system). |
|
|
|
|
|
|
|
|
Study 9.3 Network of Diskless Workstations with a File Server |
|
|
|
|
|
|
|
|
A common system configuration consists of an ensemble of diskless workstations networked together to a common file server. The file server consists of an I/O processor and one or more disks. In this study, we analyze a network of such workstations (Figure 9.16). |
|
|
|
|
|
|
|
|
This type of network was first studied by Lazowska et al. [179], who parameterized a diskless workstation environment under SUN/UNIX. From their |
|
|
|
|
|