|
|
|
|
|
|
|
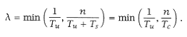
but the multiprogramming uniprocessor has a more limited request rate of: |
|
|
|
|
|
|
|
|
This assumes the system is server-limited and hence |
|
|
|
 |
|
|
|
|
Ts > Tu. |
|
|
|
|
|
|
|
|
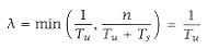
for n ³ 2 (this is the usual case). Now the disk is faster than the processor. |
|
|
|
|
|
|
|
|
For this case, we can get reasonable performance estimates by reversing the roles of the requestor and server. After all, there is only one physical requestor and one physical server, but there are n requests present in the system at any one time. Clearly, the system is limited by its most restrictive element. |
|
|
|
|
|
|
|
|
So for this case only (multiprogrammed uniprocessor), if Ts³ Tu, we continue with the model as discussed earlier. If we have Tu > Ts, the system is processor-limited. In this case we have an inverted server; the system is limited by the capacity of the apparent requestorwhich to our model, resembles the server! Thus, whenever |
|
|
|
|
|
|
|
|
we must reverse the roles of the apparent server and requestor, and Tu is interchanged with Ts. We will see an example of this shortly in study 9.2. |
|
|
|
|
|
|
|
|
The worst-case error is introduced when Tu» Ts and n is 2. Our model assumes there are two processors when in fact there are two processes residing on one processor. For this case, our model predicts an achieved occupancy of 0.5 (r = 1, n = 2); in the actual system the realized occupancy would be somewhat lower. |
|
|
|
|
|
|
|
|
The approximation is increasingly valid as Tu < Ts, since the probability of a conflict in the physical processor is lessened. |
|
|
|
|
|
|
|
|
Study 9.2 Multiprogrammed Processor with Single Disk |
|
|
|
|
|
|
|
|
(a) 10-MIPS Processor with Disk System |
|
|
|
|
|
|
|
|
Assume that we have a 10-MIPS processor that makes an I/O request every 400K user-state instructions (i.e., every 40 ms). Assume that 100K instructions are required in the system state to manage the I/O request. The processor is multiprogrammed degree 2 (i.e., has two independent user programs in memory). |
|
|
|
|
|