< previous page page_619 next page >

Page 619
Asymptotic
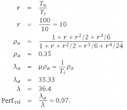
Ts
=
10 ms
Tu
=
100 ms
Tc
=
110 ms
n
=
4
0619-01.gif

From equation 9.6,
0619-02.gif
Low-population
0619-03.gif
EXAMPLE 9.2 (n = 4, m = 2)
Now we repeat Example 9.1 for m = 2 and Ts = 20 ms. For m ¹ 1 it is inappropriate to use the low population model. There is more contention in a system with n = 4, m = 2 than in a system with n = 2 and equivalent server occupancy.

 
< previous page page_619 next page >