|
|
|
|
|
|
|
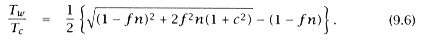
Substituting la and solving for Tw, we get: |
|
|
|
|
|
|
|
|
We can rewrite this in terms of f: |
|
|
|
|
|
|
|
|
and we can find ra in terms of the preceding: |
|
|
|
|
|
|
|
|
Suppose there are multiple disk servers (m). Now, accesses may or may not be uniformly distributed across these servers. Requests often cluster to a single file, and thus, despite the existence of multiple servers, the system may reference only one (or at least a smaller number than the physical number of servers). We will discuss this issue later in the chapter. For the moment, assume that m represents the effective number of independent servers. It is clear that: |
|
|
|
 |
|
|
|
|
Number of physical servers ³ m ³ 1. |
|
|
|
|
|
|
|
|
Now, if requests are uniformly distributed over these m servers, the offered request rate l is reduced by a factor of m. |
|
|
|
|
|
|
|
|
So we rewrite Equation (9.5) as: |
|
|
|
|
|
|
|
|
Thus, for multiple servers, we rewrite equations (9.6)(9.8) as: |
|
|
|
|
|