< previous page page_613 next page >

Page 613
and the ratio f as
0613-01.gif
The factor f is the offered occupancy per requestor (n = 1), the ratio of the offered request rate (l = 1/Tc) to the service rate (m = 1/Ts). These factors are obviously related:
0613-02.gif
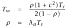
The actual or achieved closed-loop request rate (laa) can also be written as:
0613-03.gif
where po is the probability that the system (server) is idle.
In a system with one requestor that waits until service before issuing another request, we have a special case. Our general model fails for this case, as seen following and in the next section.
When there is only one request (n = 1), we have (Tw = 0), as there can be no waiting time:
0613-04.gif
Thus,
0613-05.gif
Similarly, the system reaches capacity or saturation point [166] when
0613-06.gif
Increasing n (requestors) beyond this point causes the system to linearly slow down. For each additional requestor, the waiting time increases by Ts.
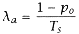
We can (computationally) determine the intermediate system behavior by recalling (M/G/1):
0613-07.gif
so that
0613-08.gif

 
< previous page page_613 next page >