< previous page page_615 next page >

Page 615
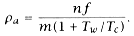
The occupancy per server is:
0615-01.gif
9.4.2 Single-Server Low Population (n)
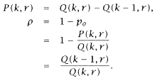
There is a problem with our analysis for the single server (m = 1) with a small number (n) of tasks. It is asymptotically valid as n becomes large. The M/G/1 request distribution is Poisson, which implicitly assumes an infinite population of requests whose mean value is n per (Tc + Tw). This introduces significant error when n is small (especially n < 4) and when r is small (r < 1). When r is small, the offered occupancy is large and the effects of low n are most visible. When r is large (r > 1 and, e.g., n ³ 4), the user time quanta Tu(r = Tu/Ts;r > 1 implies Tu > Ts) is large with respect to and the asymptotic model naturally limits the population. When n is small, we must modify our model. Recall that:
0615-02.gif
We need to find po(n), that is, the probability that the server is idle given a population of n items in the system.
Assume a single server and service time exponentially distributed (c2 = 1) with Ts as mean. Following Kobayashi [169], we define a Poisson distribution with mean R as
0615-03.gif
and its cumulative distribution as:
0615-04.gif
For M/M/1, Kobayashi shows that:
0615-05.gif
where pm(k) is the probability that m items are present in a system whose maximum population size in k (0 < m < k). This defines a truncated Poisson distribution.
Now
0615-06.gif
and since
0615-07.gif

 
< previous page page_615 next page >