|
|
|
|
|
|
|
Study 8.3 Direct (Static) Compared to Indirect (Dynamic) |
|
|
|
|
|
|
|
|
This follows a similar study by Agarwal [6]. |
|
|
|
|
|
|
|
|
Assume we have the following network parameters: |
|
|
|
|
| | | | | | |
|
|
|
|
Node pins, fan-in plus fan-out |
|
|
|
| | |
|
|
|
|
|
|
Dynamic, indirect: Assume we have a baseline network using 4´4 switches. This gives us: |
|
|
|
|
|
|
|
|
and each level has 1,024/4 = 256 nodes, or a total of 5 ´ 256 = 1,280 nodes. |
|
|
|
|
|
|
|
|
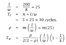
The channel width (w) is: |
|
|
|
|
|
|
|
|
where k = 4, l/w = 25, and r = 25m. |
|
|
|
|
|
|
|
|
So, for example, if m = .005 messages per cycle, then r = 0.125 and |
|
|
|
|
|
|
|
|
and the total time is 31.1 cycles. |
|
|
|
|
|
|
|
|
Static, Direct (k, n) Network |
|
|
|
|
|
|
|
|
As an alternative, now consider two low-dimensional, bidirectional "grid" (n = 2) or "cube" (n = 3) type networks (with closure). For about 1,024 nodes, we would have a (32,2) grid type network or a (10,3) cube type network. For the (32,2) with 64 "pins" or input/output lines, we would have w = 64/2n = 64/4 = 16. For the (10,3) network, w = 64/6 = 10.7, allowing for sake of the example a non-integer value of w. |
|
|
|
|
|