|
|
|
|
|
|
|
Figure 8.56
Indirect network compared with two direct
networks. |
|
|
|
 |
|
|
|
|
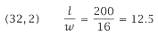
(32, 2) Tc = 16 + 12.5 = 28.5 |
|
|
|
 |
|
|
|
|
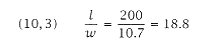
(10, 3) Tc = 7.5 + 18.8 = 26.3. |
|
|
|
|
|
|
|
|
where r = (mkd)l/w. The results are plotted in Figure 8.56. |
|
|
|
|
|
|
|
|
Suppose now we include the effect of locality. Suppose we can achieve L = 0.25. This means that: |
|
|
|
|
|