|
|
|
|
|
|
|
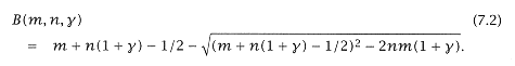
where Qc is the expected number of denied requests per module, and m is the number of modules. Then m Qc = n - B, as discussed in chapter 6. |
|
|
|
|
|
|
|
|
If we allow bypassing, we will require additional buffer entries and additional control. Typically, an entry could include: |
|
|
|
|
|
|
|
|
Request source tag (i.e., VR number). |
|
|
|
|
|
|
|
|
Address for request to a module. |
|
|
|
|
|
|
|
|
Scheduled cycle time indicating when module is free. |
|
|
|
|
|
|
|
|
Entry priority id (assuming more than one request can be bypassed). |
|
|
|
|
|
|
|
|
While some optimization is possible, it is clear that large bypassed request buffers can be complex. |
|
|
|
|
|
|
|
|
7.3.3 Gamma (g)-Binomial Model |
|
|
|
|
|
|
|
|
We now develop the g-binomial model of bypassed vector memory behavior. Assume that each vector source issues a request each cycle (d = 1), and that each physical requestor in the vector processor has the same buffer capacity and characteristic. If the vector processor can make s requests per cycle, and there are t cycles per Tc, we have: |
|
|
|
|
|
|
|
|
This is the same as our n requests per Tc in the simple binomial model, but the situation in the vector processor is more complex. We assume that each of the sources s makes a request each cycle and each of its g -buffered requests also makes a request. |
|
|
|
|
|
|
|
|
Depending on the buffer control, these buffer requests are made only implicitly. The controller "knows" when a target module will be free and therefore schedules the actual request for that time. From a memory modeling point of view, this is equivalent to the buffer requesting service each cycle until the module is free. |
|
|
|
|
|
|
|
|
This can be substituted into the simple binomial equation: |
|
|
|
|
|