< previous page page_399 next page >

Page 399
Assuming that Tbus is of the same order of magnitude as Tv, we would have:
0399-01.gif
This is generally similar in form to the interleaved case, with a minor adjustment for the Tbus, Tv distinction.
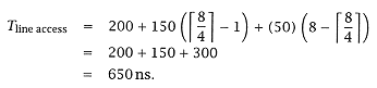
EXAMPLE 6.7 COMPUTING TLINE ACCESS
Assume we have Ta = 200 ns, Tc = 150 ns, Tv = 40 ns, Tbus = 50 ns, L = 8, and v = 4.
We would have the following time relationship:
0399-02.gif
which we compute as:
0399-03.gif
The final case is an interleaved memory consisting of modules with fast sequential page mode. Assume
0399-04.gif
That is, that memory to processor transfers are determined by the bus time (Tbus), not the interleaved page time.
Here, the line access is approximately:
0399-05.gif
EXAMPLE 6.8 COMPUTING TLINE ACCESS
Consider the case where:
L
=
16,
n
=
4,
m
=
2,
Ta
=
200 ns,
Tc
=
150 ns,
Tbus
=
25 ns, Tn

 
< previous page page_399 next page >