|
|
|
|
|
|
|
Tc plays a role for L > m, since the first accessed memory module may not be available when requested at the Tbus rate. |
|
|
|
|
|
|
|
|
If Tc < (m) Tbus, even if L > m, the memory cycle is faster than the bus usage and the initial memory module has recovered before it is to be used again. Thus, we have: |
|
|
|
 |
|
|
|
|
Tline access = Ta + (L - 1) Tbus. |
|
|
|
|
|
|
|
|
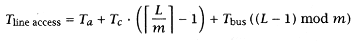
Now for L > m and Tc > (m)Tbus, the memory cycle time dominates the bus transfer. The result depends on the relationship between Ta and Tc, so a timing diagram is useful; but as an estimate, we can use |
|
|
|
|
|
|
|
|
Assume that we have Ta = 300 nsec, Tc = 200 nsec, m = 2, Tbus = 50 nsec, and L = 8. We would have the following timing relationship: |
|
|
|
|
|
|
|
|
The first word in the line is available in Ta, but that module is not available again until Tc. A total of accesses must be made to the first used module, with the first access accounted for by Ta (assuming Ta > Tc). Thus, an additional - 1 cycles are required. Finally, (L -1) mod m bus cycles are required for the other modules to complete the line transfer. |
|
|
|
|
|
|
|
|
Now we assume a single module memory system (m = 1) with sequential page mode. We assume the memory has the following characteristics: |
|
|
|
|
|
|
|
|
Ta, the access time to the first retrieved item. |
|
|
|
|
|
|
|
|
v, the maximum number of fast sequential accesses that can be made to the module before a memory refresh time is required. |
|
|
|
|
|
|
|
|
Tv, the minimum time between sequential accesses during page mode. |
|
|
|
|
|
|
|
|
Tc, the cycle time assumed to be the same as the memory refresh time between accesses of v items in page mode. |
|
|
|
|
|
|
|
|
Thus, we have the following relationship: |
|
|
|
|
|