< previous page page_393 next page >

Page 393
0393-01.gif
(d) Simple binomial:
0393-02.gif
Design Summary:
For an initial estimate of the module partitioning, use the open-queue model setting r» .5. This is subject to large errors, so it is useful as an initial partitioning estimate only.
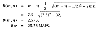
Find B(m,n,d).
In general, use the d-binomial model for pipelined processor-memory configurations.
Find Tw and access time.
Study 6.2 Interleaved Memory Systems Evaluation
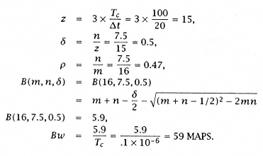
Consider a 50 MIPS processor (Dt = 20 ns), requiring 75 MAPS, using m = 16 and n = ls Tc = 75 ´ 106´ 0.1 ´ 10-6 = 7.5. Assume IF/cycle = 0.8, DF/cycle= 0.5, DS/cycle= 0.2.
This is a simple pipelined processor. We use the d-binomial approximation for performance estimates. Compute d:
0393-03.gif

 
< previous page page_393 next page >