|
|
|
|
|
|
|
Now the achieved occupancy per module is: |
|
|
|
|
|
|
|
|
Thus, the processor is unable to achieve its requested 75 MAPS request rate, l, and achieves only |
|
|
|
 |
|
|
|
|
la = 59 MAPS. |
|
|
|
|
|
|
|
|
The processor slows down by the same rate: |
|
|
|
|
|
|
|
|
We could have arrived at the same conclusion based on module occupancy: |
|
|
|
|
|
|
|
|
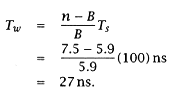
Now that we know the effect of memory interference on performance, let us determine the memory waiting time (Tw): |
|
|
|
|
|
|
|
|
The average number of requests buffered by the memory system is: |
|
|
|
 |
|
|
|
|
Qc-t = 7.5 - 5.9 = 1.6. |
|
|
|
|
|
|
|
|
6.7 Review and Selection of Queueing Models |
|
|
|
|
|
|
|
|
Throughout the remainder of this text, we shall from time to time use one or more of the variations of simple queueing models. In selecting an appropriate variation, the reader should recall that there are basically three dimensions to simple (single) server queueing models. These three dimensions represent the statistical characterization of the arrival rate, the service rate, and the amount of buffering that is present in the system before the system saturates. |
|
|
|
|
|
|
|
|
For arrivals, the issue is d, the probability that a given source requests service during a particular service interval. If the source always requests (with probability = 1) service during a service interval, we use the MB, or simple |
|
|
|
|
|