< previous page page_392 next page >

Page 392
The closed-queue models based upon MB/D/1 represent a processor memory in equilibrium, where the queue length including the item in service (n) equals n/m on a per-module basis. The simple binomial model is useful only for processors making n requests Tc, where n is the mean of the request distribution that is made to the memory system. For simple pipelined processors (limited buffer), the d-binomial model seems most suitable.
As n and m become large (³ 4), most of the models give a reasonably close estimate of performance. With the exception of the Hellerman and Flores models (both of which represent modeling extremes), the models should give a reasonably good estimate of processor-memory interactions across a reasonably broad range of multiple (or simple pipelined) processor/multiple memory module combinations. By the same token, when n and m are small (< 4) or the processor model is unusual (i.e., particularly constrained or simple), then special care must be taken in choosing the analytic model and properly parameterizing it in order to achieve reasonable accuracy.
The following example illustrates how the models compare numerically, without examining the underlying details of the processor-memory interaction.
EXAMPLE 6.6 MODEL COMPARISON
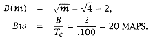
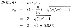
Suppose n = m = 4; assume the memory has Tc = 100 ns. The processor offers the memory system four requests, each 100 ns(Tc) or 40 MAPS. The predicted bandwidth is:
(a) Hellerman:
0392-01.gif
(b) Strecker:
0392-02.gif
(c) Asymptotic:
0392-03.gif

 
< previous page page_392 next page >