< previous page page_385 next page >

Page 385
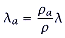
The preceding assumes that the processor performance consistently depends on memory performance and scales accordingly. There may be cases when this is not true. Caches, for example, decouple processors and memory to some degree. If the processor is unaffected by memory for some fraction of requests (lu out of lr), then the resulting performance would be:
0385-01.gif
We can also rewrite w as:
0385-02.gif
or
0385-03.gif
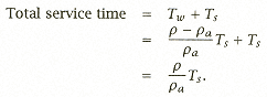
The closed-queue model assumes that the processor is directly affected by the response of the memory system. The waiting time directly affects processor performance:
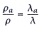
0385-04.gif
A processor requires a number of accesses to memory to complete a job. This corresponds to n requests per Ts but it only achieves B services perTs. Thus, the processor time horizon must be extended to accommodate the n - B requests that are now processed at the rate of B/Ts requests/second. This extra time is (n - B) Ts/B, the waiting time.
Since the la request rate must match the output rate, the processor must be slowed down by a factor of:
0385-05.gif
This is the offered processor rate, and c0385-01.gif is the relative performance.
6.6.1 Pipelined Processors
In order to apply the d-binomial to pipelined processors, we must determine d, the probability that a processor source makes a request where each of the requesting sources in distinct. The nature of d (as in the earlier example) is clear. It is not so clear in the case of the pipelined processor, which has many request sources.

 
< previous page page_385 next page >