|
|
|
|
|
|
|
Figure 6.22
Waiting time. |
|
|
|
|
|
|
|
|
6.6 Determining the Waiting Time, Relative Performance, and Buffer Size |
|
|
|
|
|
|
|
|
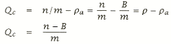
Assume that from one of the previous models we have determined an effective memory bandwidth. We must determine the effective waiting time, to which must be added our fixed access time through the memory system to determine the overall effective memory access time. Assume first we have a purely closed queue without an open-queue buffer. If n requests are made to m modules each cycle, and only B of these requests are honored each cycle, then n - B requests are delayed. As a simple model, the waiting time of the B accepted requests is zero, while the remaining n - B requests are Ts, the service time (Figure 6.22). Thus, the waiting time per request is: |
|
|
|
 |
|
|
|
|
since the expected closed-queue size per module (Qc) is |
|
|
|
|
|
|
|
|
and the total closed queue |
|
|
|
 |
|
|
|
|
Qc-t = mQc = n - B |
|
|
|
 |
|
|
|
|
mla = B/Ts, |
|
|
|
|
|
|
|
|
where Ts is the memory service time and la is the achieved request rate. Recall that |
|
|
|
|
|
|
|
|
Since l is the arrival rate of requests to memory without interference and la represents the achieved rate, the relative performance of the processor-memory system compared to the processor with an ideal memory is: |
|
|
|
|
|