< previous page page_708 next page >

Page 708
0708-01.gif
Figure 10.14
Percent CPI improvement of 64b memory bus relative to 32b memory bus
for a 0.75
m superscalar processor.
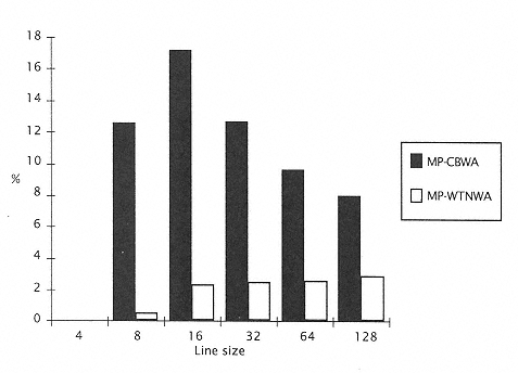
0708-02.gif
Figure 10.15
Percent CPI improvement of 64b memory bus
relative to 32b memory bus for a 0.75
m multiprocessor.

 
< previous page page_708 next page >