< previous page page_645 next page >

Page 645
reads. Thus:
0645-01.gif
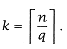
In general, E(f/q) is
0645-02.gif
where
0645-03.gif
The service time for distributed (q,1) files on q disks is:
0645-04.gif
Now all files are accessible in one block read time, although since the drives are not synchronized, there is additional block delay (Tsynch).
Suppose we distributed the file across a (16,1) system with the previous workload (70% single blocks, 30% uniformly distributed over 216 blocks). Then E(f/q) = E(f/16) = 1.0.
Now
0645-05.gif
Blocks may be transmitted out of order, so the first block may be transmitted after one Tread. Transfer from buffer to processor is similar to the independent disk case (1,1), but the transfer begins as soon as the first block arrives. Thus, we have:
0645-06.gif
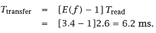
Now the unoverlapped transfer time is:
0645-07.gif
and for E(f/16) = 1.0 we have
0645-08.gif

 
< previous page page_645 next page >