< previous page page_580 next page >

Page 580
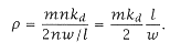
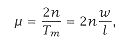
The service rate (m) is:
0580-01.gif
since each node has 2n channels. Tm is the time it takes a node to process a message. Then the occupancy is
0580-02.gif
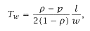
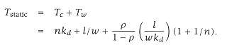
As with the dynamic case, the intermediate node cannot store a blocked message, and the queue develops at the originating node only. Which openqueue model to choose? We could use MB/D/1 as in the dynamic network; this would give
0580-03.gif
where p = r/2n.
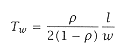
Since n = 1 is a special case, we are most interested in n ³ 2; thus, p will usually be small. Also (depending on the implementation), the service time is not necessarily constant. A blocked link may block predecessor nodes, creating a more complex service time determination. Using this rationale, for large k (k ³ 4), Agarwal [6] computes the waiting time (M/G/1) as:
0580-04.gif
The 1/n term here is the self-contention arising when the message is directed at its own processing node. When kd is much greater than 1, the contention delay is approximately:
0580-05.gif
Note that for a common network dimension, k = 8 (kd = k/4 = 2), Agarwal's M/G/1 gives the same result as M/D/1, ignoring the self contention factor.
The total transit time for a message to a destination (h = 1) is
0580-06.gif
The preceding cannot be used for low k (i.e., k = 2,3). In this case [1], we use (n large) M/D/1 and:
0580-07.gif
and
0580-08.gif

 
< previous page page_580 next page >