|
|
|
|
|
|
|
A request in the waiting state leaves that state and is accepted with probability PA (Figure 6.30). Once in the accepted state, A, the processor remains there either by making another request and having it accepted (rPA), or by not making a request (1 - r). If the processor makes a request and it is rejected (r(1 - PA), it returns to state W. A processor in W always resubmits a request; it remains in W if it is rejected (1 - PA). |
|
|
|
|
|
|
|
|
Now the probability of being in state A, qA, is simply the ratio of the entry traffic (PA) to the entry and exit traffic (r(1 - PA)). |
|
|
|
 |
|
|
|
|
qW = 1 - qA. |
|
|
|
|
|
|
|
|
The actual offered request rate, a, is: |
|
|
|
 |
|
|
|
|
a = rqA + qW. |
|
|
|
|
|
|
|
|
That is, a request is generated with frequency r when in state A, and always when in state W. |
|
|
|
|
|
|
|
|
Now we also have from our earlier analysis: |
|
|
|
 |
|
|
|
|
nra = 1 - (1 - a)n. |
|
|
|
|
|
|
|
|
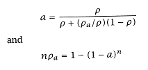
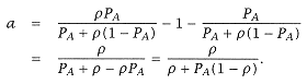
We recognize that PA, the probability of having a request accepted, is |
|
|
|
|
|
|
|
|
are the two equations which we iterate to find a final ra. Initially set a = r to begin the iteration. Convergence usually occurs within four iterations. |
|
|
|
|
|