|
|
|
|
|
|
|
since p = d/m, we replace mp with d: |
|
|
|
|
|
|
|
|
This is our basic processor-memory performance model. It assumes there are no source buffers for request sources. Processors with buffered request sources will perform better than predicted by this simple model. |
|
|
|
|
|
|
|
|
Recall that the open queue model discussed in the previous section is not a system in equilibrium. Based on service time (Ts), and a peak request rate l, we compute r and then Tw. We could then use this Tw to modify the effective service time to become Tw and Ts, which changes the request rate. If the processor could make requests at its peak rate unaffected by Tw, the processor would achieve the offered request rate. The memory system contention would not affect performance. The need to represent processor-memory models that recognize that processors are immediately affected by delayed memory responses and that the resulting model must have a meaningful equilibrium state is another motivation for closed-queue models. |
|
|
|
|
|
|
|
|
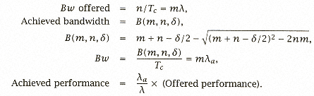
The d-binomial approximation is summarized as follows: |
|
|
|
|
|
|
|
|
Processor makes n requests each Tc. |
|
|
|
|
|
|
|
|
Each processor request source makes a request with probability d. |
|
|
|
|
|
|
|
|
Offered bandwidth each Tc. |
|
|
|
|
|
|
|
|
Suppose we now consider a processor that makes requests from buffered sources. Further suppose its request rate is unaffected by server performance until its buffer is full. With a low request rate, this system will behave as an open queue, but once it reaches a critical occupancy it behaves as a closed-queue system. We call such systems buffered closed queues, and generally model them by simply recognizing the added queue in the system. |
|
|
|
|
|
|
|
|
Consider the simple case of the M/D/1 queue. For a buffered closed-queue system, |
|
|
|
|
|