|
|
|
|
|
|
|
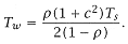
Now we compute Tw/Tc using equation 9.6 for the server CPU. Table 9.6 shows the server disk and network occupancy. Its data is computed as follows. |
|
|
|
|
|
|
|
|
We first regard the disk and network as constant delay counters (18.8 ms + 3.6 ms). This acts to delay requests from reaching the server CPU, but does not otherwise affect the server, Ts = Ts1 = 40 ms. Since Tc = 1 sec, Tuser = 960 ms (sum of user time, delay, and idle time). Now we solve for the server CPU waiting time, Tw1, using equation 9.6, and for la using equation 9.7. |
|
|
|
|
|
|
|
|
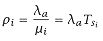
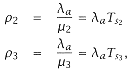
The achieved request rate, la, must be the same for the server CPU, the disk, and the network. So, if r2 is the disk occupancy and r3 is the network occupancy, we can find: |
|
|
|
|
|
|
|
|
where Ts2 is the disk service time (18.8 ms) and Ts3 is the network service time (3.6 ms). |
|
|
|
|
|
|
|
|
Knowing r2, r3 we can find Tw2, Tw3 by using the open-queue M/G/1 model: |
|
|
|
|
|
|
|
|
For example, suppose we know for n = 10 that la = 9.87 from our model of the CPU server (Equation 9.6). Then , and tw2 can be determined using r2. |
|
|
|
|
|
|
|
|
Since we have additional delay (Tw2 + Tw3) in the system (beyond that computed for the server CPU), the la. should be corrected. In our case, the correction is slight, since |
|
|
|
 |
|
|
|
|
Tw1» Tw1 + Tw2 + Tw3. |
|
|
|
|
|
|
|
|
While we computed these delays at the various servers, they are reflected at the workstations also, since they affect la. For our example, Tc = 1 sec and: |
|
|
|
|
|
|
|
|
where la»la1 as determined by the server CPU. Slowdowns in the ''processing rate," or achieved request rate, are reflected as delay at the workstations (Figure 9.20). Each server is occupied at different levels, however, since |
|
|
|
|
|