|
|
|
|
|
|
|
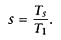
Figure 8.11
Speedup as a function of the serial fraction of
program execution (Amdahl's Law). |
|
|
|
|
|
|
|
|
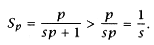
processor is active in a multiprocessor system consisting of p processors. Each parallel processor system executing a single program must have, during the execution of that program, some Ts (i.e., Ts > 0). Ts represents initial and final program synchronization, if nothing else, since one processor must start the program and some other single processor must post the final result of the program. The relative size, cause and effect of Ts remains a controversial and important factor in determining overall multiprocessor performance. The effect of Ts is frequently referred to as Amdahl's law for multiprocessors [14]. We can perhaps see the effect of Ts best by using the model introduced by Karp and Flatt [155]. They introduce the notion of a serial fraction of program performance. Serial fraction is defined as: |
|
|
|
|
|
|
|
|
 |
|
|
|
|
|
|
|
|
The serial fraction is the fraction of time the parallel processor has only a single active processor (Ts), compared to the uniprocessor execution time (T1). Suppose the program is otherwise ideal (i.e., and the remainder of program execution (T1 - Ts) is perfectly parallel). Then: |
|
|
|
|
|
|
|
|
Indeed, if p is large and s is large enough so that sp 1, then sp = 1/s. |
|
|
|
|
|
|
|
|
Speedup as a function of the serial fraction s is plotted in Figure 8.11. It is easy to understand the strong limitation that s represents. If 10% of a |
|
|
|
|
|